Mass Drivers III: Engineering
WILLIAM H. ARNOLD, STUART BOWEN, STEVE COHEN, DAVID KAPLAN, KEVIN FINE, MARGARET KOLM, HENRY KOLM, JONATHAN NEWMAN, GERARD K. O'NEILL, and WILLIAM R. SNOW
This paper is the last of a series of three by the Mass-Driver Group of the 1977 Ames Summer Study. It develops the engineering principles required to implement the basic mass-driver design defined in paper I and as presented previously in the literature. Optimum component mass trade-offs are derived from a set of four input parameters, and the program used to design a lunar launcher. The mass optimization procedure is then incorporated into a more comprehensive mission optimization program called OPT4, which evaluates an optimized mass-driver reaction engine and its performance in a range of specified missions. Finally, this paper discusses, to the extent that time permitted, certain peripheral problems: heating effects in buckets due to magnetic field ripple; an approximate derivation of guide force profiles; the mechanics of inserting and releasing payloads; the reaction mass orbits; and a proposed research and development plan for implementing mass drivers. This paper also considers further optimization that depends on advances in component technology beyond the present state. It is concluded that significant advantage can be gained in the case of small reaction engines with high emission velocity by developing lightweight packaging technology for silicon-controlled rectifiers (SCR's).
INTRODUCTION
The fundamental physics of electromagnetic mass drivers and the rationale for the basic design that has evolved are described by Arnold et al. (ref. 1, and prior literature referred to there). This paper deals primarily with the engineering principles involved in implementing the basic design, and the application of those principles to both mass-driver lunar launchers (MDLL and massdriver reaction engines (MDRE).
This embryonic engineering text represents, of course, a first approach, subject to perhaps as much subsequent refinement as was the engineering work of the Wright brothers or of Professor Goddard. It is rather remarkable that precise engineering principles can be formulated at all at such an early stage, considering for comparison the amount of work that had to be done in thermodynamics, fluid dynamics, applied metallurgy, etc., before the first text on aircraft turbines could be written. Mass drivers are unique in that they derive very directly from the straightforward and well-understood principles of electromagnetic theory.
This paper first develops the formalism for deriving the optimum trade-off among design decisions for a given set of four input parameters; then certain peripheral problems that appear to be important are considered. Bucket-heating effects, which result from magnetic field ripple, turn out to be entirely manageable, and guide force profiles turn out to rise steeply enough to provide reasonable assurance against physical contact. Payload insertion and release do not appear to present serious problems, even at the significantly higher launch repetition rates utilized in the present designs. The conditions for safe (i.e., short-lived) reaction mass orbits seem clearly definable.
Capacitor mass must be higher than previously assumed to permit the high repetition rates imposed by optimization conditions, that is, maximum use rate conditions. The higher capacitor masses do not appear to affect total system mass very significantly.
SCR mass, on the other hand, represents a crucial problem that requires further research. Presently available SCR's involve package masses from 50 to more than 1000 times heavier than the silicon wafer masses. This circumstance does not reflect a physical necessity, but only the fact that little attention has so far been paid to this problem. From the viewpoint of mass-driver design, the high mass of SCR's is unimportant for lunar launchers and for the large, low-mission-velocity reaction engines intended for use in asteroid retrieval. On the other hand, for high-velocity reaction engines, SCR mass has overwhelming effect. It should be possible to take advantage of the extremely short pulse duration and the relatively low pulse repetition rate involved in order to develop SCR's approaching the actual mass of the active silicon wafers.
Another important consideration involving SCR's, about which very little data are available, is the effect of ambient operating temperature on their short pulse rating. It turns out that the total mass of power supply and radiators could be reduced by 32 percent if the overall system temperature were permitted to run at 400 K rather than 300 K. Unfortunately, this optimum system temperature is so close to the present operating limit of SCR's that their pulse rating would be seriously reduced. Thus, there are two substantial incentives for devoting some research to the packaging and rating of SCR's for space applications. It is quite likely that much could be gained by the development of a heat pipe cooling system for SCR's for space applications other than mass drivers.
The design procedures, optimization programs, and example design results presented here are conservatively based on existing component technology. They are intended to supply a reliable data base for evaluating massdriver performance and usefulness in relation to the entire range of possible missions now envisaged.
Our conclusions justify a serious development effort aimed toward the implementation of mass drivers. If such a program is started immediately, following the suggested baseline scenario, an operational mass-driver reaction engine could be launched in 1985.
MASS-DRIVER DESIGN PRINCIPLES
Input Parameters
The basic electrical and mechanical design of a mass driver is governed by the choice of three mission-related variables and one internal design variable.
Choice 1- Mass m (kg) and density p (kg/m3) of the cylindrical propellant lump or payload carried in the bucket. Because the volume of the payload has been set, m1 varies only with the density of the material used. For all calculations shown here, we have arbitrarily chosen
p = 2X103 kg/m3) , which is somewhat less than the density of ordinary rock (about 2.5X103) kg/m3).
Choice 2- Repetition or launching rate of payload masses (sec-1 or Hz). The product of
and m1, is equal to the mass throughput dm/dt =
of the mass driver;
is known once
and m1, are chosen. Mass throughput
is the relevant parameter for determining mission performance, but must be separated into
and m1 for purposes of design optimization.
Choice 3- Exhaust or emission or launch velocity ve(m/sec) (ve = Vmax), that is, the velocity with which the payload masses leave the mass driver. The product ve =
m1ve is equal to the thrust of the mass driver when it is considered as a reaction engine.
Choice 4- Acceleration a (m/sec2) imparted to the loaded bucket by the magnetic drive force. Once the configuration has been selected, as was done in reference 1, acceleration is simply proportional to the product of bucket and drive coil currents. The bucket current is limited by the critical current density of the superconducting material at the magnetic field and temperature conditions prevailing, while the drive coil current represents a trade-off, subject to optimization, between component mass (powerplant and radiators, capacitors, and SCR's). Assuming equal accelerating and decelerating forces, the total length of the mass driver (accelerating and decelerating sections) is given by the simple relation [ 1 + (mB/mBL)] (ve2 /2a), where mB is the mass of the unloaded bucket and mBL= mB + m1 is the mass of the loaded bucket. This relation expresses the very reasonable result that, for fixed ve, the greater the acceleration, the shorter the driver.
Design Rationale
The mass-driver design flow chart given in figure 1 traces the logic that leads the designer from his initial choices Of m1ve, and a to the optimized mass-driver system mass and efficiency. In this section, we discuss in detail the logic tree presented in figure 1.
From choice 1: Once the mass and density of the individual payloads m1 and p are specified, the dimensions of the bucket drive coils and coil spacing can be determined as explained in the payload dimensions section of reference 1. The length of the payload is 0.925D (where D, the mean diameter of the drive coils, is the "caliber"), while its diameter is 0.3D. Hence the volume of the payload is (in MKS units)
Since m1 = vpp, the caliber D can be determined; assuming
p = 2X103 kg/m3.
Once the caliber is known, the following design parameters with dimensions of length can be determined from the design decisions defined in reference 1.
Volume of individual bucket coils:
Mass of a single bucket coil:
mBC = VBCs = 0.566m1 since the density of the niobium-tin superconductor is 4.53X103 kg/m3
From these results and design choices mentioned earlier, we obtain:
Total coil mass per bucket:
msuper = 2mBC = 1.132 m1
Empty bucket mass:
mB = 2msuper = 2.263m1
Loaded bucket mass:
mBL = mB + m1 = 3.263 m1
Ratio of unloaded bucket mass:
mB /mBL = 0.694
Current in each bucket coil:
iB = 2.5X106 D2 = 9.702X104 m A based on current density of 2.5X108 Am-2, achieved in the M.I.T. magneplane model.
Single-turn self-inductance of a drive coil:
Ls = 2.004X10-6 D, H
= 3.948X10-7 m, H
Note that the above inductance value was computed using reference 2 (p. 95), assuming the drive coil cross section to have a width and build each equal to 0.05D. If we assume instead a value of 0.1D, then we obtain:
Ls = 1.572X10-6 D = 3.097X 10-7 m , H, equivalent to multiplying by a factor of 0.78. This alternative will be referred to later.
From reference 1, the equivalent circuit for the electrical drive is a series LRC combination in addition to a voltage generator for the back emf due to bucket passage. The actual drive circuit consists of eight drive coils, four per phase, the two phases being in quadrature. It is beyond the scope of this article to analyze this circuit completely; the interactions between sine-wave currents switched on for single cycles and of differing phases in nearby drive coils require a more detailed analysis. For the circuit given in reference 1, the inductance Lw consists of the self-inductance of a drive coil and the effect of all relevant mutual inductances. In the simplified case of only one phase operating, Lw = Ls - M2, where M2 = mutual inductance between drive coils with a spacing of 2m.
From choices 2 and 3: Together with the choice of m1 and
Mass throughput:
Thrust:
Kinetic energy of payload:
Jet power of kinetic power:
The ringing frequency of the drive circuit,
At the maximum velocity end of the driver,
From choice 4: the choice of acceleration together with the choice of
m1,
Length of accelerating section:
Length of decelerating section:
Total length of mass driver:
Total number of drive windings per phase:
Finally the drive current iD (in ampere-turns, iD = n2i) must be calculated. As described in reference 1, the required drive current is obtained from the energy change
Once all the design parameters are computed, the masses of the various electrical components, total system mass, power requirements, and system efficiency can be determined. The formulas that give the minimized electrical component masses and total system mass were derived in the 1976 Ames Study report (ref. 3). These formulas have been modified in certain details because of the change from a three-phase to a split two-phase system and the elimination of the "local duty cycle" (now unity). Consult references 3 and 4 for a derivation of these formulas; we discuss here only modifications to these formulas.
Dependent Parameters
1. Total SCR mass, Ms:
where
This formula is a factor of 2/3 less than that derived in references 3 and 4 , the result of reducing the number of phases in the mass driver from 3 to 2. When Ms is computed in terms of the relevant design parameters,
This relation assumes a certain drive coil cross section (as discussed in the previous section) and is also based on SCR technology (see section on SCR technology).
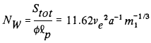
2. Total winding mass, MW and MPRW :
where
In the optimized case (ref.3, 4)
mass of the powerplant and waste heat radiators associated with the drive windings MPRW is equal to MW winding mass.
3. Total feeder mass, MF, MC and
MPRF :
where
where nw is the number of windings simultaneously excited per phase associated with one bucket coil A
These figures again assume LW = 3.948X10-7 m
4. Kinetic power mass, Mkin :
But there is no change in this expression for Mkin . In terms of the parameter value, we obtain:
5. Total electrical mass, Mel :
The expression remains unchanged.
This value represents a first estimate subject to further refinement. It includes the total mass of all buckets, mass of the electrical components in the return track, mass of all sensing and control devices used i the driver, and mass of all structural members.
7. Total mass of mass-driver system, Mtot:
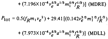
8. Mass-driver power requirements, Ptot : The total power required to operate a mass driver is the sum of the kinetic power (Pkin = (1/2)
which, in terms of the parameter values is,
(again, refer to the note concerning inductance in the preceding section).
9. Waster power, PW (power lost in feeders and windings):
with the explicit values given on the right-hand side of the above expressions.
10. Mass-driver efficiency,
Example Design: Lunar Launcher
The design principles developed previously and in reference 1 have been translated into an HP 67/97 program, readily adaptable to any other computer (described in detail in appendix A). The program derives optimized component masses, total mass, overall length, power requirements, and waste power, and efficiency on the basis of the four input parameters that have been defined. One essential parameter does not appear explicitly in this program - the caliber. It depends directly on payload mass m1 and, as explained in reference 1, is
where m1 is the payload (in kilograms) and D is the caliber (in meters). This relationship is based on our assumed payload density of 2X103 kg/m3.
The program was used to compute an optimized lunar launcher. Requirements were specified as an annual throughput of 650,000 metric tons, assuming 49 percent operating time - which allows for total shutdown during the lunar night and 1-percent downtime for emergency repairs. This requires a 42-kg/sec throughput. At a given throughput, the total system mass is found to be quite insensitive to variations in launch frequency and payload mass, within practical limits. We have therefore arbitrarily chosen payload mass and launch frequency as 10.5 kg and 4 Hz, respectively. The launch velocity is 2,400 m/sec, the lunar escape velocity. Acceleration is chosen as 1000 Earth gravities or 10,000 m/sec2. The following optimized parameters are obtained:
Note that if the acceleration is decreased by a factor
of 10 to 100 gravities or 1000 m/sec2 , there will be
a 4-percent savings in total mass, the efficiency will
rise slightly to 97 percent, but the total length of
the launcher increases by a factor of 10 to nearly 5 km.
The caliber of the assumed launcher is
D = 0.197m
The program can also be used to optimize the mass of
mass drivers used as reaction engines, subject to the
slight change in assumed boundary conditions as indicated in the program description (appendix A). How
ever, mass-driver reaction engines must be optimized in
terms of overall mission requirements and, therefore, the
input parameters that form the basis for the present
optimization no longer represent the independent variables. A more fundamental mission optimization program will therefore be developed in the following section.
MISSION OPTIMIZATION
In the preceding section, we solved the problem of
designing an optimized mass driver, that is, one of minimum
total mass, on the basis of four input parameters:
payload mass and density, launch repetition rate (which
together determine mass throughput and required size),
exhaust velocity, and acceleration. This optimization
program is adequate for the design of lunar launchers,
but a more comprehensive optimization process is
required to design the optimized mass-driver reaction
engine for a given mission in space. We have developed
such a comprehensive mission optimization program,called OPT-4. The rationale of this procedure is described here and a number of selected mission performance curves are presented. An HP 67/97 version of the OPT-4 program is described in appendix B.
Equivalent Free-Space Velocity Increment
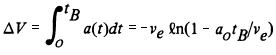
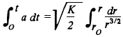
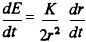
A space mission is characterized predominantly by its velocity increment, which is defined as (1)
where a(t) is acceleration as a function of time and tB is the total thrusting time. This parameter can be defined for motion in an inverse-square gravitational field in the limit of low-thrust spiral orbits typical of mass-driver performance as follows.
We assume the velocity to be equal to the local circular velocity at all times. The total energy per unit mass, kinetic plus gravitational, is (2)
where K = GMprimary and r is the orbit radius.
The local circular velocity in an orbit is vc2 = K / r (orbit condition) and, since v = vc, E = -K / r . The rate of change of energy per unit mass, that is, the power per unit mass, is
If a = force per unit mass = acceleration, then the power supplied per unit mass is (3)
as the radial velocity due to the tangential acceleration. Separating variables, we obtain:
and (4)
Thus, the equivalent free-space
Another quantity of interest is the relation between
and hence
or
where tB is thrusting time.
From low Earth orbit (LEO), at an altitude of 200 km, to geosynchronous orbit at radius = 42,243 km,
Externally Powered Rocket Equations
Electromagnetic mass drivers differ from other propulsion systems in that the propellant mass flow is decoupled from the energy per unit mass of propellant
flow, since propellant represents only reaction mass,
power being supplied from a separate source, the Sun.
Optimization will therefore be governed by the relative
value of time and reaction mass, energy consumption equations,
entering only in the sense that it determines the mass of
power supply and heat radiators.
Let
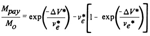
(5)
the final burnout mass is (6)
Let P = powerplant power and (7)
where ve is exhaust velocity and (8)
The thrust force is (9)
where
is the propellant mass-flow rate and tB is the mission thrusting time. The jet power can also be written as (10)
The free-space velocity increment is, from the rocket equations, (11)
In the following, we assume (12)
or (13)
where (14)
(15)
and (16)
vc = mission characteristic velocity =
Equation (13) gives the payload fraction delivered at the end of the mission. The propellant fraction is (17)
while the powerplant is (18)
Thus, if we compute (19)
where T = mve, the initial mass Mo is given by (20)
and the payload delivered then follows from equation (13), the propellant used from equation (17).
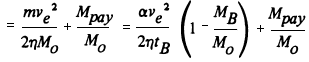
Reaction Enging Component Masses, System Mass, and Efficiency.
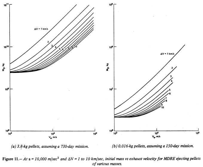
Using the OPT4 program, we determined and plotted the efficiency, overall system mass, specific system mass, and separate component masses as a function of mission velocity, ve, and acceleration a for two typical massdriver reaction engines:
The bare power plant specific mass was set at
0.005 kg/W, and the specific radiator mass, at
0.020 kg/W. The payload/bucket-mass ratio was 2.263
Mission Performance Curves for Selected Input Parameters
We now present curves showing the dependence of mission performance parameters for various missions characterized by
Losses due to the drag component of the magneticflight guidance forces occur in the guideway conductors rather than in the moving bucket, and so are not considered in this section, As the bucket accelerates, however, it is acted on by fields that vary with time, as seen in the coordinate system of the bucket. These time-varying fields cause induced currents within the bucket and corresponding losses. We now compute those losses to determine whether they will cause an unacceptable beat input.
There is a question, not investigated here, whether the superconducting windings must be protected from timevarying fields. The fields of the drive coils are not very strong, typically about 500 G (0.05 T), and the time variation in the bucket frame is only a small fraction of the amplitude. Although no protection is likely to be required, we take the precaution of providing an eddy current shield around the superconductor. We consider the specific case of a mass-driver reaction engine used as the Shuttle upper stage. The drive windings have a mean diameter (caliber) of 5 cm, with a nominal peak drive current of 15,000 A-turns corresponding to an acceleration of 1000 gravities. For single-turn drive and bucket windings, the mutual inductance is 0.015-
An upper limit to bucket heating is the case of the bucket coil anchored in position in the plane of the drive coil, which corresponds to the "locked rotor" case of an electric motor. At the ve end of the mass driver, the drive frequency is 2.5X105 Hz, for ve = 104 m/sec and a wavelength of 4 cm (two-phase bipolar drive with a 1-cm spacing between drive coils). We assume that each bucket coil is surrounded by thermal radiation shields and an outermost unbroken aluminum jacket serving as eddy current shield. To satisfy electromagnetic principles, the current flowing in the current shield must cancel any flux change-induced by the drive coils. The corresponding condition is
where iD is the drive coil current, iB is the bucket coil current, and t is time. The corresponding current in the current shield would be 7200 A, which is intolerably high, as niight be expected in the locked rotor case.
The realistic situation is a bucket moving along the accelerator, triggering the drive coils at the correct times as it advances. If the drive coils were distributed unifornily, corresponding to an infinite number of phases, the bucket coil would ride a moving wave of nonvarying magnetic field in the manner of a surfboard and would experience no change in flux linkage. In the real case, there is some variation due to the ripple in the drive system. We recall that, for 60 Hz, the ripple frequency is 120 Hz for single phase or 360 Hz for three phase. Correspondingly, the ripple frequency is four times the drive frequency in the two-phase case. It suffices to calculate the current over 180o of phase at this ripple frequency, half the distance between drive coils. We verify that statement by noting that all drive coils act identically, and that their action is symmetrical forward and backward, so that the longest unrepeating distance along the machine must be half the distance between coils.
We have used the curve for dM/dx to calculate the energy change imparted to each bucket coil by passage through each drive coil. To calculate the ripple, we need the curve for M itself (fig. 14) to obtain the change in flux linkage in the absence of current in the current shield.
We carry out the bookkeeping of drive currents by use of figure 15, where the current in each drive coil is represented by the projection onto the y axis of a vector of length id rotating at the drive frequency. The vector switches on when
over all coils whose currents are nonzero. Table 1 summarizes the calculation. As expected, the ripple frequency corresponds to a wavelength equal to the drive coil spacing.
The peak current is 1 5/8 of the drive current and must be carried by the shield in order that the superconducting coil experience no flux linkage.
The skin depth
We conclude therefore that no serious heating effects will occur in the bucket as a result of induced currents or fields during acceleration so long as accelerations are in the order of 1000 gravities, such effects might become more serious and might require the use of a larger number of phases, that is, more closely spaced drive coils.
GUIDE FORCE PROFILES
In reference 1, the guidance or restoring force on the bucket was calculated for small displacement from the equilibrium trajectory to determine the resonant frequency of transverse oscillations and its scaling with caliber.
An equally important consideration is whether the restoring force profile for large displacement from equilibrium rises steeply enough to prevent physical contact between the bucket and the guideway surface. The repulsion force becomes infinite, of course, in the mathematical limit when the current filament representing the bucket coil contacts the surface. Because of the physical size of the superconducting coil and the surrounding thermal radiation shield and eddy current shield, contact occurs before the current filament reaches the guideway. The strength of the repulsion force at contact, or the shape of the restoring force profile, represents the ultimate lower limit on the caliber of mass drivers. Ultimately, it will have to be computed exactly or determined by inductance simulation methods. At present,
however, we shall calculate the restoring force profile from the octagonal approximation and examine its implication for the two design examples presented earlier: the optimized lunar launcher and the 5-cm caliber reaction engine.
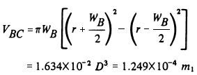
The octagonal approximation is defined in figure 16. The approach is a fair approximation of reality because the guideway will consist of several narrow aluminum strips, possibly eight, located inside the drive coils. These strips might occupy 1/4 to 1/2 the circumference. The restoring force profile must then be scaled accordingly from our calculation, which assumes complete envelopment. (Complete envelopment is impossible because the bucket coils would be shielded from the drive coils; the guideway must consist of relatively narrow strips.)
The force on each of the eight elements of the bucket coil is assumed to be caused only by its mirror image in the nearest guideway surface. The magnetic field at each element due to its image, which is at a distance of 2s (s being the distance to the reflecting
surface) is given by the Biot-Savart law (valid at distances small relative to the conductor length):
where I is the current (in amperes) and s is the distance between the bucket coil element and the guideway surface. The Lorentz force per unit length on the current element due to its parallel image current is therefore
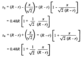
The length ofeach current element (each octagonal side, fig. 16) in terms of r, the mean bucket coil radius, is
The total restoring force can be expressed in four terms by substituting these s values into the above expression:
In figure 17, the restoring force is plotted as a function of the normalized displacement x/(R-r), that is the displacement expressed as a fraction of the normal gap. As stated above, this force assumes total envelopment by the guideway and must be scaled to the fraction of the circumference actually occupied by the guideway.
We now calculate the restoring force at contact for our two example designs, assuming a totally enveloping guideway:
Lunar launcher:
PAYLOAD MANIPULATION
The manipulation of buckets and payloads has been studied only to the extent necessary to ascertain that no fundamental problems arise, and that the repetition rate of 10 launches/sec is a conservative choice.
Loading and Feeding
For the optimized lunar launcher, buckets that are 0.478 m long will enter the mass driver at the rate of 10/sec. This represents a bumper-to-bumper procession moving at 4.78 m/sec or 10.7 mph, which is bicycle speed, or the speed of many assembly lines.
For the reference reaction engine design, buckets that are 0.056 m long, launched at the rate of 10/sec, would enter the mass driver at 0.56 m/sec, which is 1.24 mph, a leisurely walk.
Individual buckets would be taken out of circulation at intervals of perhaps 1 hr for recooling and readjustment of the superconductor current. The payload could be introduced in the form of a powder or liquid (liquid oxygen) while the buckets are accelerated to feeding speed, and in this case no special containers would be required. Alternatively, the payload might be compacted into a cylindrical pouch having adequate tensil strength, or held in a surrounding structure capable of withstanding the hydrodynamic bursting force under acceleration. Loading and feeding do not appear to involve any fundamental problems.
Release and Deflection
As the stream of buckets enter the launcher, their separation increses continuously until the launch point is reached. We must ascertain that the empty bucket can be deflected with sufficient lateral acceleration by the available guidance forces to ensure that it will not be struck by the next payload to be launched.
Assuming that the empty bucket is deflected with a radius of curvature R, then the distance of travel required to reach a deflection d is given approximately by
We assume that the deflection rquired to clear the next payload is about equal to the caliber D. The centrifugal force F is related to the radius of curvature R by
the empty bucket mass mB = 2.263 m1, the payload mass. Therefore, the travel distance required to achieve a deflection D is given by
The maximum available deflection force F was calculated in the preceding section.
The deflection path is found to be z = 4.86 m, compared to the headway distance from the following payload of 240 m - clearly a safe separation.
The separation path is found to be 358 m, compared to a headway of 1000 m, still as safe a separation as prevails on most freeways. In both cases, the available lateral force is based on the assumption of a half-enclosing guideway structure.
It is clear that, with reaction engines, deflecting the empty bucket at high speed will apply a lateral force to the launch end of the mass driver which may produce unacceptable effects. To avoid this situation, it would be simple to split the payload longitudinally and separate the two halves laterally by means of a relatively gentle spring pressure, while the empty bucket is decelerated drastically before being deflected for the slow return travel. It thus appears that no serious problem is involved in the launching operation.
REATION MASS ORBITS
The reaction mass ejected by a mass-driver reaction engine (MDRE) may be rendered harmless if it consists of liquid oxygen or a loose aggregate of fine powder. If it is a solid pellet, however, it poses a hazard to other spacecraft as well as to itself. We shall therefore examine the conditions that must be satisfied to ensure the the orbit of the ejected reaction mass is short-lived. The mass-driver reaction engine considered here is thrusting tangentially to the orbit as it spirals inward or outward from the central body. The nominal trajectory of the MDRE at an instant is a circular orbit.
When departing from low orbit about the central body, the exhaust velocity is opposite that of the circular orbit velocity. This allows for retrograde orbits with respect to the orbiting MDRE when ve>vc where ve is the exhaust velocity and vc is the circular orbit velocity. When ve<vc, the orbits are posigrade.
For the pellets to go into a retrograde parabolic escape trajectory,
where K = GM = gravity constant of the central body and r is the orbit radius. When
The cases where the periapsis is equal to the radius of the central body and the orbit radius is equal tothe apoasis radius constitute the boundaries for central body intersecting trajectories:
Retrograde limit:
Posigrade limit:
where R is the radius of the central body. When
the pellets will go into elliptical orbits that will not decay for periods ranging from days to many years. This is a forbidden region of operation.
the pellets are retrograde elliptical orbits also, with decay times ranging from days to many years, also a forbidden region of operation.
the orbits are either posigrade or retrograde, but they all intersect the central body during the first orbit. This is an acceptable region of MDRE operation, with the obvious precautions to be taken.
In figures 18-21,
Earth:
K = 3.986X105 km3/sec2
Moon:
K = 4.9X103 km3/sec2
The two figures for arrival trajectories for the MDRE show the limit for parabolic escape only since ve isin the same direction as vc:
FURTHER OPTIMIZATION OF COMPONENT
TECHNOLOGY
Radiators
Waste heat produced by the mass driver will be dissipated through radiator panels that can be positioned behind the solar cells and will thus be radiating into the 3 K of deep space. The solar panels and the struts that support the mass-driver structure itself can be used as the framework for the radiators. These radiators will be very similar to the outside radiators developed and used in the Apollo program, so these can be used as models in arriving at mass estimates for mass-driver radiators.
The heat lost from a given radiator is proportional to (1/TR4) - (1/Ts4) where TR is the radiator temperature and Ts is the temperature of the heat sink into which it radiates. Approximating the temperature of space shaded from the Sun as 0o and using the fact that the Apollo radiators, which operated at 300 K, weighed 0.02 kg/W, the mass of the radiators is found to be
It is possible that slightly lighter radiators might be designed for the mass driver since these will not have to function at the low temperature which forced the Apollo designers to use special materials with unusual thermal properties; however, the above figure is the one used in all calculations.
Optimized System Temperature
The operating temperature of the mass driver has
been arbitrarily assumed in all previous calculations to be about room temperature, that is, 300 K. Since radiator mass varies significantly with temperature and represents a considerable fraction of the total mass, it must be considered whether a significant reduction in optimized total system mass might be attained by allowing the operating temperature of the radiators to rise. This could be accomplished either by running the entire circuit at a higher temperature or by using heat pumps to maintain a higher radiator temperature while operating the electrical circuitry at a lower temperature.
To do this, one must examine the dependence of mass on temperature. Both powerplant and radiator mass vary with temperature, powerplant mass being directly proportional to the power dissipated in the circuit (I 2R where I is current and R is resistance). Radiator mass, from basic thermodynamics, is inversely proportional to the fourth power of temperature. The overall expression for powerplant and radiator mass is:
where
which yields the curve shown in figure 22. The mass savings with increasing temperature are at first substantial, but taper off, with overall mass beginning to level off at about 400 K and reaching an optimum at about 440 K.
Limitations are imposed on the system by the SCR's, which at the present level of technology cannot be operated above 400 K. Were the radiators to be operated above this temperature, therefore, heat pumps would have to be used between radiators and SCR's. Since the mass savings on radiators and power plant become minimal above 400 K (only 3 percent of combined radiator and power-plant mass is saved by running from 400 K up to 440 K), it is apparently not profitable to install the extra hardware necessary to operate radiators a few degrees higher than 400 K.
However, the mass savings resulting from allowing the entire system to function at the upper limit of SCR operating range are considerable; power plant and radiator mass are reduced by 31.8 percent by raising system temperature from 300 to 400 K. Mass-driver design in the future should be based on the assumption that the system will be run at the highest temperature possible for the circuit components. At present, this appears to be about 400 K.
However, the surge rating of SCR's decreases with rising temperature and becomes very low at the operating limit of 400 K; no performance data are available in this region. There is clearly a need for research in the adaptation of SCR technology to space requirements (see SCR section).
Capacitor Technology
Specific capacitor mass has been assumed to be 8X10-3 kg/J (or 56.7 J/lb in customary trade units). This is a conservative rating for energy storage capacitors of the "high energy density" class.
We have never examined, however, whether such capacitors will withstand the actual operating conditions resulting from optimized sector length, and achieve the required service life of about 1010 discharge cycles. It appears that they will not, and that two alternative solutions to the capacitor problem must be compared:
An increase in specific capacitor mass would increase the optimum sector length, resulting in even more coils connected to each feeder capacitor, with a corresponding increase in discharge rate. It therefore becomes important to consider in some detail the performance capability of energy storage capacitors.
The Air Force Propulsion Laboratory, Wright-Patterson Air Force Base, Ohio, has already sponsored a serious investigation of high-density energy storage capacitors by two leading manufacturers (refs. 5, 6). A third source of information is to be Deutschman Laboratories, Inc. (Canton, Mass.), a small but very innovative manufacturer, and the first to have developed energy storage capacitors for high-voltage, high-rate service (T. Deutschman, Jr., personal communication, 1977; he considers the Maxwell report to be solidly based on experiment, but the TRW report to contain somewhat excessive extrapolations beyond actual testing).
The tests in question were made using 0.00017-in.thick aluminum foil, separated by four types of dielectric:
Results indicate that the dominant failure mode was dielectric puncture at foil edge, and that voltage reversal
has dramatic effect on life, which varies about with the power of -1.83 of the fractional voltage reversal. A curve taken from reference 6 summarizes life as a function of specific mass (fig. 23).
Maxwell Laboratories (W. White, personal communiation, 1977) is now undertaking a new investigation for Wright-Patterson AFB to cover high discharge rates (to 500 pps) and longer lifetimes (to 109 cycles). They also report having built (for Avco-Everett Laboratory) one unit that approaches our requirements and that also provides a tested value of specific mass: a laser optical pumping unit for laser propulsion studies. The specifications are:
Note that this specific mass approaches that value typical of commercial power factor correction capacitors, rated for continuous duty at 60 Hz, with 100-percent voltage reversal. A currently available
Westinghouse unit has a specific mass of 2 J/lb. Maxwell Laboratories estimate that 400-Hz line frequency units might have a mass of about 1 J/lb, which is 50 times the assumed specific mass.
Note, as indicated in reference 6, that no capacitor manufactured to date has come close to performing to the limits of the material used. Failure is always associated with manufacturing defects.
Finally, we should consider the use of vacuum capacitors. For mass-driver service, they have the advantage of very long life expectancy and frequency tolerance, and they would have a specific mass no greater than that of powerline capacitors if one assumes that 0.001-in.-thick aluminum foil can be made to support itself. The bulk of such capacitors has always precluded their use on Earth, but they should be investigated in connection with space requirements in general.
It might also be expedient at some point to consider the possibility of using the back surface of solar panels as capacitor area.
SCR Technology
Mass-driver optimizations to date have been based on a "nonrepetitive peak pulse rating" leading to a typical specific mass of 5XI0-9 kg/VA peak. They represent about 1/3 the total mass of the 5-cm caliber interorbital reaction engine (operating at an acceleration of 5000 m/sec2, a launch velocity of 8000 m/sec, a payload of 0.014 kg, and a launch rate of 5 Hz). SCR mass represents a smaller fraction of the 18-cm caliber asteroid-retrieval engine operating at a launch rate of 14 Hz. However, since individual SCR's now fire at a rate of 28 pulses/sec (two bucket coils), their duty cycle begins to approach powerline service conditions and continuous duty ratings must be considered. This suggests a thorough examination of the state of power semiconductor technology.
The functional element of power rectifiers, transistors, and thyristors is a silicon pellet or wafer about 0.008 to 0.020 in. thick, ranging in size from 1.7 in. (44 mm) to 2.8 in. (70 mm) in diameter, with 3-in. (76-mm) and 4-in. (102-mm) pellets, presently under development (D. L. Schaefer, unpublished General Electric report, 1977). The packaging of these elements represents General Electric's primary research priority at the present since it has never received sophisticated attention. Not only does the package mass completely overshadow the functional element mass, but it also increases disproportionately with increasing size. For example, a 33-mm-diameter pellet has a mass of 0.75 g and a package of 200 g (factor 267); a 102-mm pellet has a mass of 2.3 g and a package of 3.1 kg (factor 1348). The only incentive for making larger devices is to eliminate the difficulty of connecting many small ones in series or parallel.
Figure 24 summarizes the specific mass of presently available "Press Pak" or "Hockey-Puck" devices, intended to be clamped between heat sinks at bolting forces ranging from several hundred to several thousand pounds (bolts not included in package weight). Note that these ratings are based on 1000-V standoff, but that 10,000-V ratings would not increase the mass substantially; specific mass values can therefore safely be divided by a factor of 10.
The maximum safe operating temperature of the sili: con pellets is 125o to 150o C (398 to 423 K). As mentioned in the section on optimized system temperature, this limits the temperature of the feeder lines to which the SCR's must be connected.
The inordinate packaging mass of power semiconductors represents a crude solution to two basic problems: (1) making good electrical and thermal contact with the pellet surface despite a difference in thermal expansion coefficient by a factor of 7 to 10 (silicon to copper or aluminum) and (2) preventing voltage breakdown or leakage currents at the edge of the very thin pellets.
The contact problem is solved by diffusion bonding the silicon wafer to a massive tungsten or molybdenum pad of low thermal expansion (within a factor of 2 relative to silicon), typically 10 times thicker than the wafer, and then clamping this bonded sandwich between copper electrodes with maximum possible pressure. The dry contact thus achieved is still poor, both electrically and thermally. It is likely that a considerable fraction of the heat to be removed is generated not in the wafer body, but ironically at the contact surface.
The voltage problem is solved by coating the lateral wafer surfaces with silicone compounds and encapsulating the wafer hermetically. In certain exceptional applications (high-energy physics) involving high standoff voltages, the wafers have been immersed in Dow-Corning silicone transformer oil No. 704, one of the few liquids found to be compatible with silicon on the long run.
It is clear that a significant mass savings can be realized by finding a more elegant solution to both problems. The subject deserves serious attention, considering the increasing need for power semiconductor devices in space, as well as in airborne terrestrial applications.
For mass drivers, it seems logical to consider the possibility of designing the entire feeder structure as a heat pipe, using the aluminum litz wire filaments as a possible wick material. The silicon wafers could then be immersed directly in the heat pipe fluid. Instead of dry contact, it seems logical to use a graded bond involving several metals of progressively increasing expansion coefficient in order to distribute the inevitable strain over several bonded interfaces with provisions for direct heat removal by immersed fins.
It seems reasonable, for the present purposes, to use a specific SCR mass of 10-7 kg/VA average duty; this represents 1/10 of the worst case (largest) 1000-V device included in figure 24 .
RESEARCH AND DEVELOPMENT PLAN
Baseline Scenario
No engineering study is complete without some assessment of the cost and time required for implementation. We have attempted to make such an assessment on a conservative basis. We define a "baseline scenario"
as an all-out effort based on a national commitment. If
this effort is started imme " diately, using the body of
knowledge and expertise developed to date, a lunar mass
driver could begin operating in 1985. The proposed
baseline schedule is shown in figure 25.
The program begins with a series of technology studies to define critical development areas and select certain parameters and techniques for the initial design. These studies include the design and demonstration of two working models of a mass driver, indicated by triangles. The first of these, a 500-g linear superconducting system that is 10 in long, is to be constructed by Princeton and M.I.T. in 1978-79. The second model would be a prototype interorbital transfer reaction engine of 5-cm caliber operating in a vacuum tunnel. The related research program is outlined in the following section.
Concurrently, potential installation sites would be surveyed from lunar orbit and eventually explored by a manned or unmanned lander. An excellent review of this subject, as well as the mass catching problem, was published recently by Heppenheimer (ref. 7).
The first flight demonstration of a MDRE in LEO might occur in late 1981. Development would continue, culminating in the first operational reaction engine in mid-1985. This reaction engine might serve to transport the first parts of the lunar launcher, which would be ready to begin installation at about that time. Second and third reaction engines would become operational in 1986 and 1987.
Research and Technology Studies
The research and technology studies necessary for the development of operational mass-driver systems have been broken down rather arbitrarily into six broad categories:
Basic research and technology --- $10 million
Total research and technology --- $26 million
The first (and costliest) of these categories involves several detailed design problems that are self-explanatory as presented here.
Structural analysis and dynamics is the first research area to be addressed. A structural model is required to
explore the limits of static and dynamic stability over
requiring attention include interaction of the structure with the stream of accelerating buckets, thrust vectoring, bucket steering, stabilization of oscillations and perturbations, and downrange guidance for the lunar launcher.
Electrical analysis and design includes the important task of optimizing electrical configurations for both lunar launchers and reaction engines. Other tasks include inductance modeling to determine restoring force profiles, an evaluation of the effects of harmonics in the drive current wave form, oscillation -induced radiation losses, and effects of induced voltages on the SCR's. Studies must be made to determine optimum techniques for recharging the capacitors, returning regenerated brake energy to the system, and sensing the position of buckets. Finally, it must be determined what effects passing through the Van Allen belts will have on the system.
The category of miscellaneous considerations includes first a detailed systems study, such as the study represented by the very crude first approach of the OPT-4 program presented here. The startup and shutdown of reaction engines and lunar launchers have not been considered thus far, but may have a significant effect on the overall system design. One final item in the miscellaneous category which merits early attention is the possibility of using the reaction mass or payload as a heat sink. Considering the very large fraction of total system mass devoted to waste heat radiators, this technique could result in substantial mass reduction, even if it should require the use of a heat pump.
A basic mass-driver model, built at M.I.T. by some of the present authors, was demonstrated at Princeton in May 1977. Its accelerating section is 2 m long and accelerates a 0.5-kg bucket at 33 g to 36 m/sec. This is a single-shot (push only) system using aluminum rather than a superconductor, with an ultimate capability of 100 g.
The next model to be built, the Princeton-M.I.T. model will be 10 m long and will have an acceleration of several hundred g's. It will have a caliber of 13.1 cm, with an evacuated glass tube located between the drive coils and the bucket. The bucket will have two superconducting coils.
The third model will be 100 m long and reach 960 m/sec at 1000 g. It should represent the first prototype for an orbital transfer reaction engine, including bucket return loop. If operated in an evacuated tunnel, it could serve as a test bed for structural as well as electrical design considerations.
All areas mentioned previously involve the development of mass drivers. It appears that no advances in the technology involved are required to achieve a practical mass driver. There are, however, a number of areas in which significant advances could dramatically improve the performance of mass drivers (as well as other space hardware). For this reason, a modest development effort is proposed for component improvement. Components that appear to offer potential for improvement are:
Funding Requirements
The funding requirements are estimated below, based on the optimized system masses derived earlier.
We assume development costs and learning curves typical of other space projects. Our baseline scenario represents an all-out effort and is recognized to be extremely ambitious in terms of both costs and schedule. However, it does seem to be a realistic objective if a national commitment is made and given the required priority. In
many respects, the project seems more realistic than did the Apollo program at the time it was embarked upon just 10 years ago.
A very important aspect of the proposed program is the fact that it would provide a badly needed long-term goal. We have not had such a goal for several years. The stimulation provided by a long-term goal very often transcends the ultimate value of the goal itself. Pyramids, cathedrals, and manned spaceflight all serve to confirm this assertion.
This site was hosted by the NASA Ames Research Center from 1994-2018 and is now hosted by: determine the following additional mission parameters.
dm/dt = =
m1
ve =
m1ve
(1/2)m1ve2
(1/2)ve2 = (1/2)m1
ve2
LC is related to the bucket and the phase length by
LC = 2
v/lp
LC =
max = 43.1vem-
, and ve determine the remaining parameters:
Sa = ve2/2a (assuming equal accelerating and decelerating forces)
Sd = (mB /mBL)(ve2/2a) = 0.347(ve2/2a)u which each drive coil must impart to a bucket. However, an approximate method was used in this article (not in ref.1) to determine iD . Given that
u =
iB(dM/dx)iD(x)dx, the expressions for dM/dx and iD(x)were approximated by:
dM/dx = dM/dx(max) sin [(
v/2
m)x] and iD = iD(max)sin [(
v/2
m)x]. In this approximation, the integral for
u can be solved in closed form in terms of caliber D. Typically this gives an error of less than 10 percent from the correct value determined by the method described in reference 1.
WADO
kG
R and
kG are the electrical resistivity and mass density of aluminum, respectively; ADO is the minimized drive winding cross section; nc is the number of coils per bucket; mp is the specific powerplant mass; and mR is the specific radiator mass. The formula for MW is
reduced by a factor of 2/3 because of the reduction from three phases to two. The expression for ADO omits the term
because
, the so-called micro-duty cycle, becomes unity in the two-phase system. When MW is computed explicitly in terms of parameter values,
Stot
kG
is the minimized feeder cross section, and mc is the specific capacitor mass.
The formula for MF is reduced by a factor of 2/3 because of the reduction from three phases to two. The expression
A
is less by a factor of
because the number of bucket coils was reduced from four to two and
= 1 was chosen. When MF is computed explicitly in terms of parameter values,
(see note in previous section concerning inductance). For the larger coil cross section, LW
= 3.097X10-7 m
and MF must be multiplied by a factor of 0.92; in this case the factors in the above relation become
6.637X10-4 for MDRE and 7.353X10-4 for MDLL. In the optimum case, the mass of the capacitors connected across the feeders, mc, and the mass of the powerplant and waste heat radiators associated with the feeders, MPRF, are both equal to MF (see refs.3, 4).
6. Total structural mass, Mst :vee2, electric power required to accelerated the payload to exhaust velocity) and the power required to supply i2R losses in the feeders and drive windings. The term Ptot is given by
:
SCR mass 5.03X104 kg
Winding mass 1.08X105 kg
Feeder mass 4.33X104 kg
Kinetic power mass 1.69X106 kg
Total electric mass 2.09X106 kg
Total mass 3.13X106 kg
Total length 4.88X102 m
Waste power 4.46X106 W
Total power 1.25X108 W
Efficiency 96.4 percent
= 0.431 m (17 in.).
= dE/dt.Assuming
parallel to
(tangential thrust) and v2 = K/r, we find:
V for low thrust spiraling in an inverse-square-law field is the difference in circular velocities for the initial and final orbits. This analysis does not apply for plane-changing or highly elliptical orbits.
V , the initial acceleration ao, and the exhaust velocity ve. Let M(t) be the overall mass of the vehicle and T be the thrust force, then a(t) = T/M(t), where M(t) = Mo -
(t)and Mo is the initial mass. Since T =
ve = Mo ao, we find
V = 7.785X103 - 3.072X103 = 4.713X103 m/sec.
Mpay payload mass
Mpow powerplant and associated structure mass
Mprop propellant mass
Mtot total mass-driver mass = overall powerplant specific mass of the mass-driver reaction engine (in kg/W). The power that appears as kinetic energy in the jet is
(ve2 / 2)
is the propellant mass-flow rate. We define an efficiency of conversion
as the fraction of the electrical power P that appears as exhaust kinetic energy:
= PK / P
ve
P = Tve / 2
V = ve
n(Mo/MB)
and ve are constant throughout the mission. From the definition of specific power Mpow + P
, we find:
V* = >
V/Vc
and
from the input parameters by the program developed in the preceding section and specify a particular mission characterized by the free-space velocity increment
V and mission time tB, we can compute not only the mass-driver component masses, but also the payload mass returned and other mission performance parameters. These quantities can be crossplotted as required. Since the overall vehicle initial acceleration is
The launch frequency was 10 Hz for both engines.
(see figs 2-5).V, as a function of exhaust velocity for various values of propellant acceleration a. The following parameters are plotted (see figs. 6-13):
a acceleration
Mo initial mass
Mpay
payload mass (final mass at destination)
Mprop
propellant mass
m pellet mass tB mission duration
ve exhaust velocity H peak and the bucket coil inductance is 0.03
H.
= 0o (positive horizontal axis), when the bucket coil is two coil spacings (half a wavelength) from the drive coil. The vector goes through a complete 360o change of direction in the mathematically positive sense (counterclockwise) and switches off after that one rotation when the bucket coil is a half wavelength on the opposite side of the drive coil. The flux
linking the driven coil (in the absence of shielding currents) is the obtained from
n , deg
[xn], cm Mn, H
sin n
2 11.25 1.125 0.0100 -0.981 -
3 11.25 .125 0.152 -.195 -0.00036
4 11.25 .875 .0114 .981 -
5 11.25 1.875 .0063 .195 -
2 22.5 1.250 .0094 -.924 -
3 22.5 .250 .0148 -.383 -
4 22.5 .750 .0122 .924 -0.00055
5 22.5 1.750 .0066 .383 -
2 33.75 1.375 .0086 -.831 -
3 33.75 1.375 .0142 -.556 -
4 33.75 .625 .0128 .831 -0.00029
5 33.75 1.625 .0074 .556 - in the shield is
=
where
is the ripple frequency for (106 Hz) and
, the resistivity. For aluminum,
=
8.5X10-5 m. The resistance of a solid shield would be excessive, so the shield must be in Litz wire form. In that case, if we devote 1 g of aluminum to each of the two current shields in the bucket, the average power in each shield major diameter of 2.6 cm. For a track 10 km long the acceleration time is 2 sec, and the heat rise is 40o C, which is quite tolerable. During the long, slow return, the shield will have time to cool back to room temperature if it is left free to radiate to the cold of space.
= 2(
)r. We now displace the bucket coil octagon a distance x to the left (dashed line), which causes its image to assume the position shown (dashed line), and express the mirror distances for the four sides labeled
1,
5,
2, and
4, in terms of normalized, dimensionless displacement x/(R - r); we also eliminate r in favor of R by using
r/R = 0.52 as adopted in our design family:
D = 0.431 m; m1 = 10.5 kg; R = 0.216 m; r = 0.112 m
Bucket coil width = 0.043 m; mass = 5.94 kg
For bare coil, repulsion at contact = 1.5X105 N = 2550 gravities
With 1-cm shield envelope:
1.1X105 N = 1820 gravities
Reaction engine:
D = 0.05 m; m1 = 0.0164 kg; R = 0.025 m; r = 0.013m; R - R = 0.012m
Bucket coil width = build = 0.005m; mass = 0.093kg
For bare coil, repulsion at contact = 27.34 N = 170 gravities
With 0.5-cm shield envelope: 5.86 N = 36 gravities
For the lunar launcher,
For the reaction engine,
When
When
R = 6378 km
LEO = 200 km altitude
R = 1738 km
LLO = 100 km altitude
mp specific powerplant mass; 0.005kg/W for MDRE's aand 0.014 kg/W for MDLL'S
mR radiator mass; 0.02(300/T)4
R resistance, proportional to resistivity = 2.81X10-8(1.0041)T-300(for aluminum)
I current
and R and mR are functions of T. Then,
The previous optimizations lead to the following conditions: in a 5-cm caliber orbital transfer driver operating at a = 5000 m/sec2, ve = 8000 m/sec, launch rate = 5 Hz:
Capacitor mass = feeder mass = associated power and radiator mass = 4 percent of total driver mass, or 12 percent altogether
Sector length = 1.25 in, with 40 coils on each capacitor, discharge rate = 800/sec, ringing frequency
1.95X105, duty cycle = 4.1X10-3
In a 17-cm caliber asteroid retriever operating at a = 1000 m/sec2, ve = 2400 m/sec, launch rate = 14 Hz:
Capacitor mass = feeder mass = associated power and radiator mass = 10 percent of total driver mass, or 30 percent altogether
Sector length = 1.4 in, with 15 coils on each capacitor, discharge rate = 412/sec, ringing frequency
2.6X103 , duty cycle = 0.156
Repetition rates up to 250/sec were tried where possible, but in most cases burst rates had to be severely limited to prevent excessive temperature rise. The maximum hot-spot temperature permitted was 65o C. Test voltages to 12 kV were used. Duty cycles ranged from 0.1 to 0.004. Reversal voltages of 0 to 31 percent were used. Test units were individual pads, 1 in. in diameter and 6 in. long, and completely packaged 500-J units. Life expectancy was only 105 discharge cycles, which satisfied Air Force requirements.
This represents 10 times the specific mass assumed previously (57 J/lb).
In relation to the proposed flight tests, note that these will be simpler in some respects than terrestrial tests. There is no need for vacuum insulation, and prototype systems will have been reduced to a number of identical modules sized for shuttle transportation (20 m long).
Research and technology $
Basic design and technology 10
Component improvements 6
Flight demonstration 36
Site selection for lunar launcher
Lunar orbital survey 150
Lunar lander survey 500
Ground test facility 25
MDRE no 1. 465
MDRE no 2. 300
MDRE no 3. 165
Lunar launcher 1480
Total 3137
Curator: Al Globus
If you find any errors on this page contact Al Globus.
