One of the first questions that came into the
authors� minds in thinking about a space colony was what to name
it. The authors chose Babylon as the name for the space settlement.
Babylon was chosen for two reasons. First, Babylon means "gate of
the heavens." The first step to exploring the stars, the heavens,
is a colony in orbit. The second meaning is more metaphoric. The
biblical Babylon Project was the construction of the tower of
Babel. This construction required the cooperation of thousands of
people over a great span of time. They didn�t have to challange the
linguistic, national, and cultural barriers that humanity faces
today. Since this legendary project, all humanity has never worked
together towards one common goal. It is our hope that when a colony
is built, it will be the result of the cooperation of the entire
human race. If such cooperation could be set in motion, and
maintained, nothing would stop the colony from being built.
Asteroids are rocky bodies about 1,000 kilometers or less in diameter. An asteroid is a good place for a space settlement because the rock of the asteroid provides a natural shield against harmful cosmic radiation. The rock of the asteroid also provides raw materials for construction and a certain amount of structural integrity. Most orbit the Sun between the orbits of Mars and Jupiter. Asteroids are also called minor planets. The two designations are frequently used interchangeably: dynamicists (astronomers who study individual objects with dynamically interesting orbits or groups of objects with similar orbital characteristics) generally use the term minor planet; while those who study the physical properties of these objects usually refer to them as asteroids.
In 1975, the asteroid Eros 433 flew by Earth. Astronomers have used the full Doppler-frequency distribution of echoes from the Goldstone radar to determine the size, shape, and composition of Eros. Eros is 40.5 by 14.5 by 14.1 kilometers (major axis, minor x axis, minor y axis), large enough to support a colony and a modest amount of mining. Eros� orbit is also close to the Earth, making it an even more attractive piece of real estate. In fact, Eros is so easy to get to that a mission to Eros would use less fuel than did the Apollo missions to the Moon. Eros is also a good source of raw materials; it is an S-IV type (silicaceous) asteroid. Eros has large amounts of iron-nickel ore that can be refined and exported to Earth. Preliminary studies indicated that the eastern hemisphere of Eros is rich in olivine, the western hemisphere in pyroxene. The Goldstone radar showed Eros� shape to be best described as a huge potato. The spacecraft NEAR is on its way to rendezvous with Eros in January of 1999. This probe, the first whose mission is to study an asteroid, should provide much more detailed data on the mineralogical content of Eros, as well as other S-type asteroids. Eros was used in this project because it is large enough to support the colony and a modest amount of mining, and it comes close to Earth�s orbit, which simplifies capturing Eros around the Earth
Lagrangian or "L" points are orbital tracks where the gravity of Sun, Moon, and Earth balance out. There are five L points, but not all of them are equal. L points one through three are quite unstable over the long term. L4 is moderately stable, but L5 is the most stable of the L points. Eros will be placed at L5.
Linear electromagnetic accelerators will be used to move Eros to L5. Open-cycle gas-core nuclear rockets and pulsed thermonuclear propulsion were also considered. In nuclear rockets, which are descended from the Kiwi, Rover, and NERVA projects of the 1960s, liquid hydrogen is pumped to the reactor through a jacket surrounding the rocket engine. This pumping process helps cool the rocket, and it also preheats the liquid hydrogen. Hundreds of narrow channels pass through the nuclear reactor. As the liquid hydrogen flows through these channels, heat from the reactor changes the fuel into rapidly expanding gas. The gas flows through the exhaust nozzle at speeds up to 35,400 kilometers per hour. Since these rockets work so much more efficiently than normal chemically powered rockets, they were thought to be a good choice for positioning the asteroid. However, while nuclear rockets have high exhaust velocities, their thrust to mass ratio is not high enough to be an efficient way to alter Eros� orbit.
Pulsed thermonuclear propulsion is a descendant of Project Orion, which used small nuclear devices to push a ship forward. This scheme used a pellet launcher to shoot out small pellets of fusion fuel. Several laser or particle beams would use inertial compression to fuse the pellets. Strong magnetic fields would be used to deflect the charged particles created from this "millikiloton" fusion explosion, and the repulsion of the charged particles would push the spacecraft forward. This design gave staggering exhaust velocities, near 3% the speed of light. However, this idea also had a low thrust to mass ratio. Because of this deficiency pulsed thermonuclear propulsion is not a viable way to move Eros.
The authors propose to use a propulsion method that has a high enough thrust to mass ratio to be effective in moving Eros: linear electromagnetic accelerators, or "mass drivers." A mass driver is a long track with electromagnets spaced along it at regular intervals. A payload having a magnetic field with the reverse polarization as the magnets on the track is placed at one end of the track and let go. The magnets on the track immediately begin to attract the payload. As the payload passes the first magnet, the magnet is shut off so as not to attract and slow the payload. The other magnets keep on pulling though, and soon the payload has traveled the length of the track and shoots off the end at high speeds. Mass drivers on Eros would have a high thrust to mass ratio. The ore on Eros itself supplies the payload, as does the fuel in rockets. To move Eros, the authors decided to use 40.5 km long superconducting mass drivers. Each mass driver would have a throughput of 2500 kg/s, and an acceleration of 18,000 m/s2. A prototype mass driver was constructed at Princeton University as a way to launch materials from the Moon. It could be put to use as the propulsion system to move Eros.
The mass drivers would require huge amounts of energy. To deliver this energy, power sources with a performance of 18 megavolts would be needed. To accumulate this huge amount of energy, several free-floating solar power dishes, each 10 kilometers in diameter and covered with solar cells, would collect the abundant energy streaming out from the sun (the solar flux). The solar flux density, or the amount of solar radiation, at Eros� farthest point from the Sun is approximately 438 watts per square meter. While this does not provide the solar power dishes with enough energy to power the mass drivers, they can be augmented with fusion reactors that will use helium-3 taken from the lunar regolith. Even though the mass drivers are highly efficient, a significant amount of the energy would be re-emitted as infrared (heat) radiation. This heat would cause the mass drivers to become inoperable after a short period. The 1975 Ames-Stanford case study suggested huge radiators to cool down the mass drivers. The authors believe this to be an inefficient solution. Instead, they propose covering the mass drivers with pipes of liquid helium that is only a few degrees above absolute zero. When the helium heats up and vaporizes, it will be collected, pressurized, and used to power a "helium turbine" to generate even more power for the mass drivers. This cooling system would allow the mass drivers to function for at least twenty days, which is the longest that they will ever have to operate at once.
As a member of the Near Earth Asteroid (NEA)
group known as the Amors, Eros has an orbit that crosses Mars but
doesn�t intersect that of Earth. Part of this project is devoted to
rectifying this situation. 
Eros� relevant orbital elements:
Semimajor axis: 1.4583 AU
Eccentricity: 0.223031
Inclination: 10.83 degrees
Perihelion Distance: 1.133082 AU
Longitude of Perihelion: 123.07 degrees
The easiest way to move Eros to Earth orbit
is to use a "Hohmann Transfer." Hohmann orbits are the most energy
efficient way to get from one orbit to another. They are an
elliptical orbit that has one end of the ellipse on the current
orbit, and the other end on the destination orbit. To change Eros�
orbit so that at perihelion it is on Earth�s orbit, Eros� velocity
at aphelion must be changed. Once at the Earth, one Earth and two
lunar gravity assists, in conjunction with a small negative
tangential correction of 0.579 km/s, will bring the asteroid into
Earth orbit.
The first step is to change the inclination
of Eros� orbit. To do this, Eros� velocity at one of its
nodes, or one of the points were its orbit crosses the
ecliptic, will have to be known. This can be accomplished easily
using the vis-viva equation (much more detailed calculations
of all the equations are in a zip file full of Mathematica 3.0
notebooks here.):
In this equation, R stands for the
distance from the Sun, and A stands for the semimajor axis of the
orbit, and the velocity is with respect to the Sun. The only
unknown in this equation is R, the distance from the Sun.
Calculating this turned out to be harder than it first appeared.
The authors consulted many of the math teachers at their high
school, only to discover none of them remembered a lot about conic
sections. Luckily, however, the authors were able to find out that
it takes Eros 793,889 seconds to travel from its perihelion to its
descending node. The authors were then able to write a computer
program that calculated Eros� distance from the Sun at its
descending node (The QBASIC program is available here.). Now that R is known, the vis-viva
equation can be used:
Or 30.944 km/s. Given that Eros� has a
10.83° inclination, sine and cosine are used to
determine the two components (z and y in the diagram) of the
delta-V vector that will zero Eros� inclination:

To find z, the following equation can be
used:
And another equation can be used to find
y:
Now that z and y are known, they can be
plugged into the Pythagorean theorem to find the magnitude of the delta-V vector:
Using sine, the angle that the delta-V vector makes with
the ecliptic is 84.58?.
Once Eros� inclination is zeroed, its
perihelion distance can be changed so that it crosses the Earth�s
orbit. Eros� velocity at aphelion may be found by plugging Eros�s
aphelion distance and semimajor axis into the vis-viva
equation:
Or 19.66 km/s.
The next step is to calculate the velocity of Eros� new orbit. Since the new lower perihelion distance will shrink the semimajor of Eros� orbit, the new velocity can be found by substituting the new semimajor axis value in the vis-viva equation. To find out what the new semimajor axis will be, the new perihelion distance should be added to the existing aphelion distance, and divided by two.
Since Eros� new perihelion will have to
coincide with the Earth�s orbit, it is necessary to know how far
away from the Sun the Earth will be when its true longitude
corresponds to the longitude of Eros� perihelion (123.07º). The
authors found that when this happens, Earth is 0.987 AU from the
Sun. If this is added to the existing aphelion distance, 1.784 AU,
and then divided by two, it turns out that if Eros� orbit
intersected the Earth�s orbit, then its semimajor axis would be
1.3853 AU. This new value is plugged into the vis-viva
equation:
Or 18.8251 km/s.
If this is subtracted form Eros� aphelion velocity, it turns out
that to make Eros� orbit cross Earth�s a delta-V of 0.833
km/s is needed.
Now that a 5 quadrillion-kilogram asteroid is
hurtling towards the Earth, it needs be captured when it swings by.
To facilitate this, the relative velocity of the Earth and Eros
when they pass each other must be known. Once again, the
vis-viva equation. Eros� velocity when it passes by the
Earth is:
Or 34.486 km/s. The Earth�s velocity when
Eros� swings by is:

The double lunar gravity assist maneuver
shown above entails having Eros fly by the Moon, Earth, and the
Moon again, so as to brake the asteroid into a highly elliptical
Earth orbit. In the process, Eros transfers some of its energy to
the Earth and the Moon, making them travel faster in their orbits.
However, because the asteroid is so
small compared to the Earth and the Moon, the effect on their
orbits would not be noticeable. The maximum amount of delta-V that
this maneuver can give is 2.265 km/s if Eros is not brought closer
than 6300km to the Earth, so an Earth-Eros collision is practically impossible. If the
2.265 km/s of delta-V given to us from Eros� original velocity is
subtracted, Eros is still traveling at 2.047 km/s. Earth�s escape
velocity out around the Moon using Newton�s gravity
equations:

In this equation, Ve is the escape
velocity, G is the universal gravitational constant, M*
is the mass of the Earth, and Ro is the distance in
meters to the center of the Earth. If the distance from the center
of the Earth to the Moon is 369676km, and GM* is
3.986*1014, by plugging these numbers into the equation
the escape velocity is:

The difference of the velocity of Eros after
the gravity assists and the escape velocity shows that in order to
lower Eros� velocity below the escape
velocity of the Earth a delta-V of 0.579 km/s is needed.
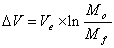
Now everything needed in order to get Eros into Earth orbit:
In this
equation, delta-V is the change in velocity, Ve
is the velocity of the exhaust, Mo is the initial mass
of the rocket, and Mf is the final mass of the rocket
after burnout. In our case, the rocket is all of the mass drivers
on Eros shooting 2500 kg/s off into space. To find the amount of
exhaust mass needed, Mf must be found. This be
accomplished by rearranging the equation:

To find the exhaust mass for zeroing Eros�
inclination a delta-V of 5.841 km/s is
needed. Eros has an initial mass of 5*1015 (5
quadrillion) kg. What is the exhaust velocity for the mass drivers?
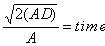
With the acceleration of the mass drivers, 18,000 m/s2,
and the length of the track, 40.5 km, the time it takes the payload
to travel the track and then the velocity can be found. To find out
how long it takes to travel the track, the following formula is
used:
Where A is the acceleration, and D is the
distance traveled. If acceleration and length are plugged in, the
time it takes to travel the track can be found:
If this is multiplied by the acceleration, an
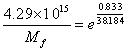
exhaust velocity of 38.184 km/s is calculated. The rocket equation
shows how much exhaust mass is needed:

If Mf is solved for, the mass of
Eros after the plane change is 4.29*1015 kg. If this is
subtracted from Eros� original mass of 5*1015 kg, the
exhaust mass expended during the plane change is
7.092*1014 kg. If 44924 mass drivers are placed on the
outside of Eros, and each launches 2500 kg/s, the total amount
launched in 1 second is 1.1231*108 kg. The exhaust mass
is divided by the amount launched in one second, showing the number
of seconds needed to give the requisite delta-V:
Or 73.087 days of continual thrusting of the
mass drivers to change Eros� inclination. Since over the course of
73 days Eros travels a good distance along its orbit, the plane
change would not be done all at once. The mass drivers would thrust
for 10 days on either side of the time when Eros reaches its
descending node. This would minimize mistakes caused by Eros being
in a different part of its orbit. This time-consuming method would
require four orbits (seven years) to complete.
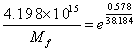
The next step after zeroing Eros� inclination
is lowering its perihelion to intersect Earth�s orbit. A
delta-V of 0.833 km/s is necessary for
this process. The rocket equation is again used to solve for
Mf:

In this equation, Mf equals
4.198*1015 kg. Notice that Mo is not
5*1015kg anymore, but 4.29*1015 kg. This is
because after the plane change, Eros� mass shrank because the mass
drivers launched a lot of rock, and so this new mass is used as the
initial mass in this equation. If the burnout mass is subtracted
from the original mass, the total exhaust mass used to lower Eros�
perihelion is 9.26*1013 kg. If this is divided by the
amount the mass drivers can shoot out in one second it yields the
number of seconds needed to slow down Eros:
Or 9.55 days to slow Eros down. Since this is
a fairly short time, this whole stage of moving Eros into Earth
orbit could be accomplished at once, unlike the plane change, which
would need 4 passes. If greater accuracy was desired, however,
lowering Eros� perihelion could be done in stages, which gives us
time to correct any problems that may come up.
The final step in putting Eros� into Earth
orbit is actually capturing it, or Earth Orbit Insertion (EOI). The
Earth and the Moon will do the majority of the work, but it is
still necessary to reduce Eros� velocity by 0.578 km/s. If the
rocket equation is used once again to find the mass of Eros after
it has braked itself by 0.578 km/s:

Note that in this equation the mass of Eros after perihelion
change is used. The mass of Eros after it has slowed down is
4.135*1015 kg. The exhaust mass used is then
6.312*1013 kg. Once again, the exhaust mass is divided
by the launch capability of the mass drivers yielding the number of
seconds needed to slow Eros down:
Or 6.5 days to slow Eros into Earth orbit. The mass drivers will only begin thrusting once Eros has passed around the Moon for the second time. This is because any changes to Eros� velocity while it is carrying out the gravity assists could cause its trajectory to be radically altered in a way that would make it impossible to capture Eros into Earth orbit.
Once Eros has been captured into a highly elliptical Earth orbit, more lunar gravity assists and use of the mass drivers would slowly move Eros to the fifth Lagrangian point (L5), where construction of the Babylon colony would proceed.
Once positioned at L5, Eros would be hollowed out. To do this, small nuclear charges would bore a hollow cylinder through the asteroid. The rock will become slightly irradiated. To shield the colonists from the radiation, a thin layer of graphite, perhaps only 8-10 centimeters thick, could be laid over the exposed rock. However, before the graphite is put down, high-powered lasers would be used to smooth the interior. Lasers would be a good choice for this job while the inside of the asteroid is a vacuum. (Lasers work well in a vacuum because there is no air to disrupt the beam.) After the asteroid is sealed, standard atmospheric gases (N2 and O2) would either be brought up from Earth or extracted from lunar regolith to allow the construction crews to breathe. The final step to prepare the asteroid for the construction crews would be to create gravity by spinning the asteroid, using the mass drivers that brought it into orbit.
Construction crews would begin by setting up ore processing plants on the outside surface of the asteroid. These factories would convert the ore of the asteroid into useable steel, which would then be used to construct the steel cylinder that would line the rock on the inside of the asteroid. The steel cylinder would be constructed of approximately 785,398,164 interlocked steel plates, each 1 meter square. On top of these steel plates, pipes would be placed. Some of these pipes would carry water for plumbing and irrigation, others would serve as drainage or waste reclamation, while others would insulate electrical and phone wires. On top of the pipes and steel, 2 meters of soft, fertile dirt would be placed. This dirt could be obtained from the lunar regolith. Lunar regolith could be processed on the moon and then flung up onto Eros using mass drivers. This would provide the foundation for all the buildings in the colony. However, lunar regolith would not provide stable building foundations. Therefore, when each building is built, steel-reinforced concrete pylons would anchor the building into the rock beneath the steel. The steel would be resealed around the base of the concrete.
Before the construction of the interior of
the colony, mining towns would be needed on the outside of the
asteroid to process the ore needed for construction. These camps
would continue to mine the asteroid ore and turn it into raw steel
after the construction of Babylon. Steel or ore produced or refined
after the construction would be shipped down to Earth or used in
Babylon itself. These mining towns on the outside would be linked
by elevator to the inside of the colony, where the workers would
live. In these exterior mining towns, the gravity would be much
higher than on the interior of the asteroid because they would be
farther from the center of rotation. Ideally, the mines would be
fully automated, and the only personnel required would be
maintenance technicians and administration staff.
| Allocation | Needed M2 |
| Residential | 49 |
| Shops | 2.3 |
| Offices | 1 |
| Schools | 1 |
| Hospital | 0.3 |
| Public Meeting | 1.5 |
| Recreation | 1 |
| Open Space | 10 |
| Services | 4 |
| Storage | 5 |
| Transportation | 12 |
| Misc. Infrastructure | 7.05 |
| Crop Growing Areas | 44 |
| Animal Areas | 5 |
| Food Processing | 4 |
| Agriculture Drying Area | 8 |
| TOTAL | 155.15 |
The formula for the surface area of a
cylinder is
, where H
is height, 2 and p are constants, and R
is the radius of the cylinder. Therefore, the total surface area of
the interior of the cylinder will be 250p kilometers2, 250000000p meters2, or approximately
785,398,163.3974 meters2. According to the 1975
Ames-Stanford Space Settlement Case Study, one human being requires
an average of 155.2 m2 to live. The allocated 49
m2colonist-1 for residential purposes
includes all necessary sleeping, living, hygiene and personal
space. The colonists would most likely be housed in apartment or
condominium style dwellings. Houses and apartments would be bought
and sold exactly like real estate here on Earth. Houses would be
available in a range of sizes. The shop (2.3
m2colonist-1) and office (1
m2colonist-1) space includes the average
amount of commercial floor space and administrative office space
per colonist. One m2 per colonist is required for
elementary and secondary education. Babylon should have a community
college, though a full fledged university was decided against
because it was felt the colonists pursuing higher education should
have some reason to go home to Earth and not live their entire
lives inside Babylon. An average of 0.3
m2colonist-1 of space is required for
hospital and medical space. One or two major hospitals staffed by
full time doctors with a range of specialty degrees would be placed
in the colony. As transport for the injured or sick between the
colony and the Earth would be expensive and impractical, the
hospitals would need to be equipped with the most modern medical
technology. Because the colony is supposed to be self sufficient,
penicillin and other medicinal plants should be grown on the colony
itself. Such plants could be grown on plots of land near and around
the hospitals. In the center of the spinning cylinder where gravity
is low, medical research labs could be installed. While not tending
to the sick or injured, the doctors of the colony could conduct
experiments in medicine much like the ones performed on the space
shuttle today. Space allocated to public meeting would include
assembly buildings and places of worship. To minimize religious
tensions and maximize fairness, space granted to each represented
religion would be proportional to the number of colonists
practicing that religion. Space for recreation and entertainment
would include two or three concert halls, bars, nightclubs, large
stadiums, etc. Open space allows mainly for lawns, but also
includes small and large parks, atriums, playing fields, and small
stadiums. Services include space for restaurants, gardening
services, post offices, police departments, etc. Storage accounts
for about .5 m2colonist-1 of personal storage
space, and about 4.5 m2 for storage space for colony
operations. Such "colony operations" storage space would include
space for equipment in the agriculture industry (tractors, farm
tools, etc.), storage space for extra and backup materials (lithium
hydroxide masks for emergencies), etc. Transportation space allows
for roads, monorails, and other mass transit. Miscellaneous
infrastructure includes electrical conduits, plumbing, etc.
Allocated crop growing areas are fields for foodstuff production,
and animal areas are pens and coops for chickens and rabbits. The
food processing allocation includes space for large bakeries, dairy
collection facilities, butcher factories, etc. Agricultural drying
area is space for the washing and drying of vegetable and fruit
crops. 785,398,163.3974 m2 divided by 155.15
m2colonist-1 yields 5,062,186 colonists. This
many colonists would fit if Babylon�s resources are stressed. Extra
space should be allocated to crops as insurance against failures.
Several other kinds of allotments are not included in the
approximation per colonist. The design allows for their future
development. For example, governmental facilities such as
legislative, administrative, and judicial buildings, library space,
extraneous office space (used for possible corporate headquarters),
space for the community college, and extra lawn space for large
estates could be created. The authors also believe that more open
space, larger parks and recreation facilities, and even the
addition of lakes instead of storage tanks for water would be
advantageous. If approximately 3.5 million people were to live on
Babylon, 242,373,163 m2 would be left over for other
use. The total suggested population for Babylon therefore is 3.5
million.
The authors propose a suburban utopia
(perfect suburb) with an urban utopia (perfect city); Babylon would
be a suburban community arranged around a central city. This city
would house the buildings of government and justice, the largest
hospital, a large library, the central fire department, shopping
malls, offices, movie theatres, and enough apartment buildings to
house 500,000 colonists. Roads would radiate from this central city
and wind through rolling suburbs. The suburbs would contain homes
in a variety of cultural styles. Initial colonists may even be able
to purchase plots of land and design their own homes based on their
own aesthetic desires. There would also be several large lakes in
these suburbs to serve both as recreation and as reservoirs. 3.5
million colonists require 4.1 km3 of useable water every
day for such tasks as showering, drinking, and miscellaneous
plumbing. If the reservoirs were dug 2 meters deep, the lakes would
take up 2025 km2, far more space than the total surface
area of the colony. Therefore, all the necessary 4.1 km3
of water would be stored outside the main cylinder in a toric
storage tank somewhere in the extra rock beyond the ends of the
cylinder. The formula for the volume of a torus is
where 2 and p are constants, A is the minor radius and B is the
major radius. Therefore a torus with a major radius of 4 km and a
minor radius of 227.8 m centered around the axis of rotation would
provide sufficient storage for the water. This torus would be
located a short distance away from the colony cylinder inside the
asteroid. As a safety precaution, an identical storage tank would
be located at the opposite end of the cylinder. If the first tank
ever emptied, the second tank would come online. Even with these
storage tanks, however, lakes would be placed around Babylon for
aesthetic reasons. At one end of Babylon, a spaceport would be
placed to receive incoming traffic. This spaceport would be
centered on the axis of rotation, and therefore be at zero gravity.
Ships trying to dock with Babylon would first have to center
themselves on the axis of rotation, and then synchronize their
rotation with that of Babylon. This would be accomplished using
sophisticated computer control systems. Shuttles would arrive and
leave the colony perhaps twice a week.
Babylon will be big. With an area of 31 km by 25 km, it is too big for the settlers to walk everywhere. A majority of Babylon is also suburban, a layout which augments the distance between destinations. The authors considered a number of methods of transportation for the settlers. Gasoline, diesel, or even natural gas powered cars would create far too much pollution for a closed environment. Because electric power will be relatively cheap on the station, the authors decided that colonists will be allowed to own and buy electric cars. These cars could either be manufactured on Babylon itself or shipped up from Earth at considerable expense. The maintenance and manufacture of electric cars will provide additional jobs for the colonists. Because 3.5 million colonists will not provide a large market for electric cars, they could be shipped down to Earth for Eco-minded citizens there. The authors also decided that a form of mass transit should be created on Babylon. The authors were impressed with the monorail systems in active service in some US cities and in the Disney World theme park in Orlando, FL. Electric monorails are quiet and efficient enough to serve in the suburban areas of Babylon as well as in the city. The city could house a central monorail terminal with several lines and branches in the suburbs. Monorails are so quiet that they have even been approved for use in wildlife sanctuaries where preserving the peace is of utmost importance. Besides monorails, another possibility for mass transit would be a settlement-wide mag-lev (magnetic levitation) train system. Mag-lev trains work in a fashion similar to mass drivers: electromagnets of the same polarity on the track and on the underside of the car. When electricity is cycled through the magnets, they repel each other causing the cars to float and move forward at high speeds. The mass driver tracks used to move Eros into orbit could be cannibalized and transformed into a civilian transportation system. Mag-lev is also a quiet solution for the suburban areas. Finally, electric buses could also be another possibility for colonist transport.
Once the colonists arrive on Babylon, life
support will become an issue. The colonists will need an
environment with an Earth-like atmosphere, gravity and adequate
food. The colonists should also be able to sustain themselves
independently of Earth for an indefinite period. To do this,
Babylon will need to be able to create gravity, have a way to
regenerate the atmosphere, recycle water, and grow food.
Spinning the asteroid will create gravity by means of centrifugal force. Gravity is needed for long stays in space. Without it the colonists' bones would become brittle, and their hearts would weaken. Today's astronauts are not concerned about gravity because the flights are short, and they usually return to Earth within twenty days. An exception are the Russian cosmonauts on the space station Mir. One Mir cosmonaut stayed on board the station for 486 days. When he landed, he had to be taken away on a heavily cushioned stretcher. He could not stand in Earth's gravity. Since then he has made a good recovery but has been permanently weakened by his stay in space. If a child were born in space, as might happen in Babylon, that child would never fully develop muscles because he would not need them in weightlessness. If that child ever traveled to Earth, he would be incapable of resisting the Earth's gravity. Without gravity a race of weaklings would develop, incapable of visiting the Earth or even the Moon.
When spinning the settlement one problem that needs to be considered is the Coriolis effect. This effect arises in objects rotating so rapidly that the falling matter appears to bend in mid-air. For example: if a person were pouring a liquid while standing on a rotating surface, the stream would appear to bend in mid-air. The liquid seems to bend because the point from which it is poured is closer to the center of rotation. That point is rotating slower than the point below, which is farther away from the center of rotation. So as the liquid falls, it accelerates until its velocity is the same as the point below it. Since the person pouring the liquid is not accelerating with the liquid, it appears to bend in mid-air. This effect would be very disconcerting to the colonists. For this reason, the colony should not rotate faster than 2 RPM.
The formula for gravitational effect created
by centrifugal force is:
In this equation, V is the velocity of spin,
R is the radius of the cylinder, and AG is the
target
acceleration due to gravity. Standard Earth gravity (1 G) has an
acceleration due to gravity of 9.8 m/s2. Babylon is 5 km
in radius. Therefore
Knowing the velocity, it is simple to
establish the rotations per minute:
In this equation, V is velocity and R is the radius of the cylinder so 2?R
is the circumference of the cylinder. Sixty (the number of seconds
in a minute) times the velocity yields the distance rotated in one
minute. This is divided by the circumference (the period of
rotation) to give the RPM. The
circumference of the cylinder is 10000?, and the velocity of
rotation (as explained above) is 221.437 km/sec.
Therefore:
The Babylon settlement inside Eros would need
to rotate at 221.437 km/sec or 0.422 RPM to create a gravitational
effect of 1 G.
Another problem will be how to recycle the atmosphere so that the colonists can breathe. While the initial atmosphere would be shipped up from Earth and the Moon, the colony needs to be able to recycle its air. To do this, colonists could use plants to recycle carbon dioxide into oxygen through photosynthesis. (Photosynthesis converts sunlight into the energy necessary to convert carbon dioxide to oxygen.) To give the plants light, a cylinder of lights would be placed in the middle of the asteroid. Besides providing the plants light, the lights would also act as a sun for the colonists, dimming at night, and brightening during the day. Another advantage the cylinder of lights has is that all the plants will grow towards it, because plants naturally heliotrope, or grow towards the sun, or in this case, the lights. This would ensure that the plants grew straight, and would aid photosynthesis.
In photosynthesis the sunlight is absorbed by a green pigment called chlorophyll. Each food-making cell in a plant leaf contains chlorophyll in small bodies called chloroplasts. In chloroplasts, light energy causes water drawn from the soil to split into molecules of hydrogen and oxygen. In a series of complicated steps, the hydrogen combines with carbon dioxide from the air and nitrogen from soil nutrients in the ground, forming a simple sugar. Oxygen from the water molecules is given off in the process. Humans then breathe in the oxygen, and breathe out carbon dioxide, continuing the cycle. However, whenever it is dark, the plants do exactly the opposite: they give out carbon dioxide and take in oxygen in a process called photorespiration. At first glance this seems to defeat the whole purpose of photosynthesis. If the space needed for each colonist�s food crops, 44 m2, is compared to the amount of plants that each colonist needs to regenerate their air, 9 m2, there is an obvious imbalance. Since photosynthesis is one way that a plant feeds itself, an absence of carbon dioxide will cause the plant to die. Since only 9 m2 out of 44 m2 of food plants are getting carbon dioxide. The other 35 m2 of plants will die. This is where photorespiration steps in. When the plants give off carbon dioxide during the night they produce enough carbon dioxide to feed all of the other plants, which then lead productive lives regenerating the atmosphere and providing food. A sufficient supply of soil nutrients used in photosynthesis and photorespiration will be necessary. Without a method of recycling the supply will run out. The colonists could recycle the nitrogen from the air into the soil; nitrogen-fixing bacteria could take nitrogen from the air, and the resulting nitrates can be used to fertilize the plants.
There could be an break in the atmospheric cycle, and the colony would need a way to temporarily maintain the oxygen levels in the air. The colonists could use outer space as a cryogenic air separator. Because space is so cold, the air from the inside of the asteroid would liquefy once outside on the surface. The carbon dioxide would then be separated from the oxygen and put into storage, while the oxygen return to the colony's air supply. Over the course of a week or so, the carbon dioxide in storage would gradually reenter the colony's air supply, but in amounts small enough that the plants could gradually change the carbon dioxide into oxygen. A computerized environmental control system in the industrial area would automate this process. This system would ensure that the carbon dioxide levels in the atmosphere would never get high enough to pose a danger to the colonists.
Fire control would also fall under the
auspices of the environmental support system. Since a fire in an
enclosed space such as Babylon could be catastrophic, any fires
would have to be put out immediately. To do this, Babylon will have
a regular fire department, but sprinklers and smoke detectors will
also be installed all around the colony. Sprinklers will be placed
in homes, offices, on streetlights, and even in parks. These
sprinklers, and the fire department, will get all of their water
from either the normal water pipes, or the large water tanks at
both ends of the colony could be used to supply water to fight the
fires. This fire control program would minimize the threat of fire
to the colonists.
Another problem encountered in space is
radiation. The Sun is the main source of radiation in the solar
system. The Sun radiates so much energy that around the Earth,
150,000,000 km from the Sun, the energy is equal to 1390 watts. On
the Earth, the magnetosphere and atmosphere lower the radiation
dosage to under 0.5 rem/yr. A radiation shield around the colony
would need to provide equivalent protection. Two different methods
of radiation shielding were considered in the design of Babylon:
active and passive shielding. Active shielding consists of using
strong electromagnetic fields to deflect the incoming radiation.
This method consumes a great deal of energy, so for most colonies
it is not an option. Another form of radiation shielding is passive
shielding. Passive shielding uses a large amount of mass, usually
lunar regolith, on the outside of the colony to absorb the
radiation. For passive shielding to be effective, it needs to be
4.5 meters deep. Babylon will be located in the middle of an
asteroid with at least .25 and as much as 2 km of solid rock
between it and the vacuum of space. The layer of rock will create
Babylon�s passive shield.
The third part of the life support system will be food and water, or how to feed the colonists. In a closed system, such as the one on the asteroid, the initial supply of water is easily recycled. All waste would go to an environmental recycling unit in the city. Waste would then be recycled into useable water. Numerous techniques are in use that convert solid waste and other wastewater back to potable water. Plants would absorb water but then give most of it back to the atmosphere in the form of water vapor and dew. This water vapor and dew would be re-condensed into useable water by an environmental control system. Sometimes the colonists would need more water than at other times. This is when the torus-shaped tank would come into use. During periods where the colonists needed more water than usual, water would be pumped from this tank. Eventually, this extra water would end up as water vapor in the atmosphere, raising the humidity level. A computer sensor would detect the humidity level, and the environmental control system would start drawing water vapor out of the atmosphere and re-condensing it. The re-condensed water would then be pumped back in to the holding tank to be used again. Any water that did not end up in the atmosphere would be sent to the waste management system to be recycled in that fashion.
The environmental control system would be the same one used for cryogenic air separation. The administration center for the environmental control system would be located somewhere within the city. Several dozen or more of the colonists could run the system. The control system would also monitor the temperature in addition to the humidity and atmospheric makeup. If the colony should waver from a comfortable temperature of 65-72ºF or a comfortable humidity of 35-45%, the control system would engage electric air conditioning, heating, and humidity control systems within the colony. Environmental stability would not be a problem.
The oxygen regenerating crops could double as food crops to feed the colonists. Since Babylon�s biosphere is so large, animals could be brought up from the Earth to provide the colonists with meat. The main meat supply for the colonists would be rabbits and chickens. These animals consume very little and reproduce very quickly. Twenty-five chickens, for example, drink only about 3.84 liters (1gallon) of water each day.
Plants would provide a more significant food source than meat. Based on the calculation of 44 m2colonist-1, 154,000,000 m2 of agricultural area will be needed to grow the food for the 3.5 million colonists. Since evapotranspiration accounts for about 95% of atmospheric water, most of Babylon�s condensers and dehumidifiers would be placed with the agricultural areas to collect the water that the plants put into the atmosphere. Wheat and other grains would most likely be the main crops grown in these agricultural areas, since they have a variety of uses. The wheat could be turned into flour and then into finished foods such as bread. Vegetables, whose leaves are not the vegetables themselves, such as tomatoes, corn, and cucumber, would also be grown. Fruit trees, such as oranges and apples, would also be ideal for Babylon. To provide some consumer products for the colonists, some space would also be set aside for plants such as cotton. Colonists could use this cotton to make cloth. The colonists would not need to have their clothes sent up from Earth at a considerable expense. This would also create a textile industry on Babylon, creating jobs and enhancing the economy.
The authors realize that in a space station environment personal tensions are greatly magnified. Close quarters, diversity of population, and cumulative claustrophobia all play a role. The authors also recognize that problems such as poverty, rebellion, oppression, and injustice are possible and even likely on Babylon. The authors have a number of suggestions to minimize these factors. First of all, poverty is inescapable on any frontier. Imagine the young entrepreneur who comes to Babylon seeking wealth and fortune, only to fall into poverty. In a space colony, this effect would create a lower class of homeless vagabonds, stuck on Babylon without money for the trip home. The authors would solve this problem by making the transport from the colony to Earth (Earthbound only) free of charge. Anyone who wished to leave Babylon would be able to do so easily.
A wide variety of racial, religious, and
cultural backgrounds should be considered in selecting the initial
colonists. How does one go about selecting 3.5 million people
without bias? The authors propose that the first residents of
Babylon would be the officials of the provisional government and
the workers, managers, farmers, and scientists required to run the
colony and the mining camps. Then each country participating in the
Babylon Project would be allowed to select a number of colonists
proportional to their participation in the project. Once the of
colonist population reaches two million, a unicameral democracy
would replace the provisional government. The last 1.5 million
colonists would be any who could afford transport and real estate
on Babylon.
The authors have identified four major
sources of employment on Babylon: mining and refining, building and
maintaining solar power satellites, and construction of other
colonies, and ancillary services. Strip mining will be the only
viable mining method on Eros. The other mining method, tunneling,
presupposes ore veins that come from prior volcanic eruptions; but
since Eros has no volcanic history, it will not have any ore veins.
Strip-mining in space will be a very different undertaking than it
is on Earth. On Earth, strip-mining consists of exploding a rock
face and then scooping the rubble into buckets and taking it to the
refinery. In space, however, explosives will be placed under the
rock and detonated. The rock will fly up and be caught in a huge
canopy over the mining site. This canopy would collect the rocks,
and any other stray ore. The canopy would have to be periodically
pulled in to be cleaned, at which time all of the accumulated rocks
would be taken to the refineries.
The refineries on Babylon would be of two
types. The first would be conventional refineries on the inside of
the hollowed out cylinder. These would use refining techniques
identical to those on Earth, using crushing and grinding to sort
out the different metals within the raw ore. Another method would
use solar ovens drifting near Eros. These solar ovens would use
large mirrors to concentrate sunlight into a cavity containing raw
ore, to first extract the volatiles and then heat the remaining ore
to high temperature (1600C). All of the free metal would melt, and
colonists could then collect it. Whatever was left over after the
useful metals were extracted could be cast into bricks to construct
buildings in Babylon, or used as a radiation shield for the mining
camps on the exterior of Eros.
A key energy source for the Babylon settlement will be solar power satellites (SPS). The construction of these satellites and their maintenance will provide a major source of employment. The array of solar dishes will beam the energy back to Earth, where it will be sold to provide financial resources for Babylon and cheap energy for Earth. An SPS consists of three parts. The first part is a large lens that concentrates sunlight onto a large array of photovoltaic cells. These photovoltaic cells comprise the second part of a SPS. When the concentrated sunlight hits the cells, it generates electricity. The third and final part of the SPS is the converter that turns the electricity made by the photovoltaic cells into 10 cm microwave power beams. These beams are directed a receiving dishes on Earth, where the microwaves are converted back into electricity, which then enters the power grid. Because the aiming of the microwave beam will have to very precise, the satellites would be moved to geosynchronous orbit, where the satellites would constantly be over their respective receiving dishes, which will aid in the aiming process. A few of the SPSs would be aimed so that they provided power for Babylon. Since Eros will be spinning to create gravity, a pair of relay satellites will be positioned a few kilometers away from Eros along the axis of rotation, and these will relay the microwave beams to receivers on the asteroid. The receivers will then convert the microwaves into electricity, which will then be fed into Babylon�s power grid.
The satellites will be equipped with a large
cluster of ion rocket engines to move them to geosynchronous orbit
after they have been constructed at Babylon and to perform station
keeping maneuvers while in orbit. Ion rockets (also called solar
electric propulsion) ionize certain gases, usually mercury or
xenon, and use magnetic fields to channel the ionized atoms out the
back of the rocket. This method of propulsion sacrifices thrust for
exhaust velocity, but since the solar power satellites will already
be in orbit, the low thrust to weight ratio will not be a problem.
It will take a little over a month to move each SPS into
geosynchronous orbit from its construction area near Babylon.
The third way that Babylon could finance
itself would be through the construction of other space colonies.
The structural pieces of new colonies could be assembled from
metals mined on Eros. The waste ore from the refining process could
be made into radiation shields for the new colonies.
The final way that the colonists could be employed would be running ancillary services. These are services that support the rest of the population. They range form restaurants to production of basic goods to dry-cleaning. These would be very lucrative businesses, since the closest dry-cleaner to Babylon is 375,000 km away.
Babylon would require three "stages" of government. A military hierarchy appointed by Babylon�s founding institutions would supervise construction. More efficient than a democracy, military leadership would allow construction to proceed quickly because the orders for the construction crews would not be held up by committee approval. Once Babylon is fully built and operational, a transition team would organize and implement a three branch unicameral democracy. Once the requisite two million settlers are present, voting would commence. Universal suffrage would be granted to all people above the age of 18. The government would listen to the citizens� needs, ensuring a benevolent relationship between the people and the government.
The first branch in a three-branch democracy would be the Office of the Executive. On Babylon, direct majority would elect a President and a Vice President. Primaries would be held three months prior to general elections to narrow down the top three candidates. The President of Babylon would have authority over the constabulary branches (see below). The Executive would have the power to appoint ambassadors to Earth countries and the UN, and the power to appoint himself a cabinet. The President would have the power to suggest and veto laws, grant amnesty to convicted criminals, and make foreign policy. A Senate would comprise the unicameral legislative branch. Citizens would elect one hundred senators to the Senate. Babylon would be divided into 25 districts of approximately equal numbers of people, and each district would be responsible for four senate seats. The Senate would vote on laws and bills and make general policy. An Office of Emergency Management (OEM) would be empowered to marshal all of Babylon�s resources in the event of a declared emergency. The President would appoint the office. The OEM would be called to prevent anarchy from taking control of the colony in such situations as a loss of contact with Earth, loss of environmental stability in Babylon, etc.
To maintain law and order, the government would have a constabulary arm consisting of three departments and a judicial arm consisting of a low court and a high court. The first department would be a general police force having much the same power as the state and local police here on Earth. They would be authorized to issue warrants for search and arrest, arrest lawbreakers, and keep basic law and order. They would be armed with non-lethal weapons, including tranquilizer guns, tear or laughing gas, and nightsticks. This force would consist of an appropriate number of full-time officers paid by Babylon�s government. This non-lethal police force would have a hierarchy and a Chief of Civilian Police appointed by Babylon�s President. The second arm of the constabulary would be a higher order police force consisting of fewer officers and dealing with capital and serious crimes, including rape, murder, arson, conspiracy, and treason. This arm would resemble the FBI. It would be authorized to use deadly force if necessary, and all enforcement personnel would carry guns as well as non-lethal weapons. This force would also be responsible for protecting the President of Babylon, much like a secret service. This branch would also have a head appointed by the President, but with the confirmation of the Babylon Senate. The final branch of the constabulary would be called on a reserve basis. This group would be of perhaps 10 or 20 thousand reserve troops that could be called up to put down any major insurrections if such things were to happen. Although the majority of this force would be reserve, there would still be permanent commanding officers and staff. These troops would train perhaps once or twice a month and be armed with rifles or heavier weaponry. They would serve the same purpose as the National Guard. In the event that the Office of Emergency Management is called, all of these constabulary branches would be under the direct authority of that office.
The judicial branch of the Babylonian government would consist of two levels of courts. The lower court would deal with all minor offenses and civil cases filed between citizens. Cases in the lower court would consist of a panel of three judges to rule over and deliberate cases. The higher court would deal with major offenses and civil cases filed against, by, or between businesses. A jury of twelve citizens of the settlement would deliberate in the higher court. Appeals in the lower court could go to the higher court, and another judge and jury would retry appeals in the higher court. Judges in the judicial system would not be assigned to a level of court. Instead, a general pool of judges would be assigned to a court on a per-case basis, reducing opportunity for corruption. The judicial system would also have a BA (Babylon Attorney) office similar to the DA here in the United States. Both the BA�s office and the judges would be elected positions. Because holding prisoners on an enclosed habitat raises safety issues, criminals convicted of higher-court crimes would be deported to Earth. It might be possible to arrange a system with some countries where prison space is rented to the Babylonian government.
This report has shown how an international coalition could place a selected asteroid into Earth orbit, hollow it out, and turn it into a space settlement. The Babylon project could pay for itself through the sale of solar power from satellites and from indigenous metals. We have the tools today to create an environment in space for human habitation that will provide not only essential gravity, air and food, but that will offer this generation the chance to be the first settlers in space.
Humanity stands on the edge of a new frontier. Nothing in this proposal is impossible. Indeed, all that is really necessary is the ambition, the vision, and leadership. The authors believe that their generation has these qualities. As in ancient Babylon, humanity may once again unite together into a project of epic proportions
Genesis XI, 6
The authors would like to thank the following people for their
help with this project:
Our parents, for staying up nights with us
pointing out mistakes
Ms. Wiberg, for putting up with in the beginning
(and for the ice cream)
Mr. Mazmanian, for putting up with us now
Our other teachers, who decided not to give us a
lot of homework
Our friends, who just stared blankly at us until
we could explain this project to them
And all of the other space settlement designs,
for the reason why we could see so far was that we
stood on the shoulders on giants
"Asteroid 433 Eros." JPL DASTCOM Database Browser. [Online] Available http://ssd.jpl.nasa.gov/dastcom.html, December 23, 1997.
Bate, Roger R., Donald D. Mueller, and Jerry E. White. Fundamentals of Astrodynamics.
New York: Dover Publications, 1971.
Buja, Chris. Orbit Transfer Vehicles. Princeton University: Space Studies Institute, 1984.
Johnson, Richard D., Charles Holbrow. Space Settlements � A Design Study. Washington DC: US Government Printing Office, 1977
Karttunen, H., P. Kroger, H. Oja, M. Poutanen, and K. J. Donner. Fundamental Astronomy. New York: Springer-Verlag Berlin Heidelberg, 1996.
"Lunar-based Mass Driver." PERMANENT [Online] Available http://www.permanent.com/massdriv.htm, January 16, 1998.
Mallove, Eugene, and Gregory Matloff. The Starflight Handbook. New York: John Wiley & Sons, 1989.
"Mining and Processing an Asteroid." PERMANENT [Online] Available http://www.permanent.com/a_mining.htm, January 16, 1998.
"Near-Infrared Spectroscopy at Eros." NIS Sheet [Online] Available http://marswatch.tn.cornell.edu/nis_facts.html, December 23, 1997
Podesta, Carolina, Carolina Subotovsky, Felipe Juda, Sandra Felsenstein, Charito Orduña and Carolina Zitzer. "Tango III" NASA-Ames Space Settlement Contest [Online] Available http://www.nas.nasa.gov/Services/Education/SpaceSettlement/Contest/Results/96/winner/uno.html, January 16, 1998
"Pyroxene." Pyroxene Information [Online] Available http://rainbow.ldeo.colombia.edu/ees/glossary/periodic_table_lith/pyroxene.htm, December 23, 1997.
"Shape of Asteroid 433 Eros from Inversion of Goldstone Radar Doppler Spectra." Asteroid Radar Research [Online] Available http://echo.jpl.nasa.gov/asteroids/433_Eros/eros.htm, January 14, 1998
Snively, Leslie O., and Gerard K. O�Neil. Mass Driver III: Construction, Testing, and Comparison to Computer Simulation. Princeton University: Space Studies Institute.
"The Mineral Olivine." Olivine [Online] Available http://mineral.galleries.com/minerals/silicate/olivine/olivine.htm, December 23, 1997
"Transportation Theory." PERMANENT [Online] Available http://www.permanent.com/t_theory.htm, January 16, 1998.
Woods, Nyssa Stephanie Rene. "SCORE" NASA-Ames Space Settlement Contest [Online] Available http://www.nas.nasa.gov/Services/Education/SpaceSettlement/Contest/Results/97/winner.html, December 20, 1997.
1998 contest home page.
Contest home page.
Space settlement home page.
Contact:
Al Globus|
Curator: Al Globus If you find any errors on this page contact Al Globus. |
![]() |
This site was hosted by the NASA Ames Research Center from 1994-2018 and is now hosted by: